学校主站
统一身份认证
联系我们
首页
部门简介
学生工作部
团委
大学生心理健康教育中心
公寓管理中心
思政教育
征兵入伍
团委在线
团学组织
社会实践
资助育人
助学贷款
奖助学金
资助工作
心理发展
心理分享
心理咨询
队伍建设
学生公寓中心
下载中心
下载中心
通知公告
学工动态
团学风采
学风建设
学院门户
登录
联系我们
首页
部门简介
学生工作部
团委
大学生心理健康教育中心
公寓管理中心
思政教育
征兵入伍
团委在线
团学组织
社会实践
资助育人
助学贷款
奖助学金
资助工作
心理发展
心理分享
心理咨询
队伍建设
学生公寓中心
下载中心
下载中心
通知公告
学工动态
团学风采
学风建设
学院门户
登录
联系我们
通知公告
通知公告
当前位置:
首页
>
通知公告
> 正文
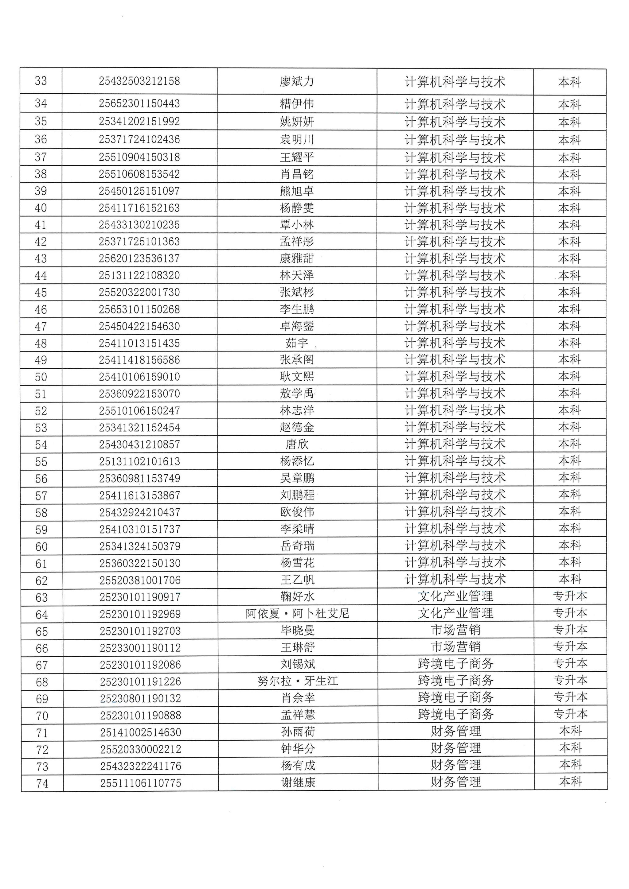
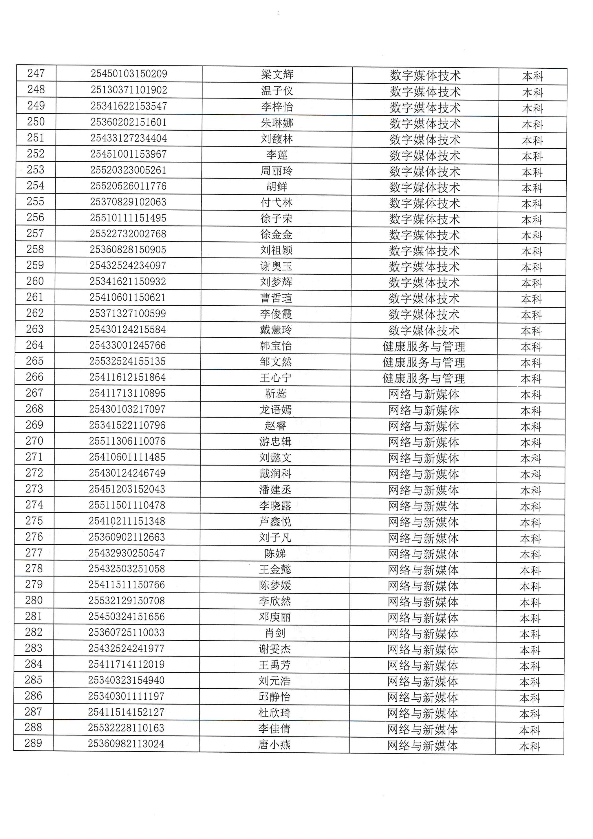
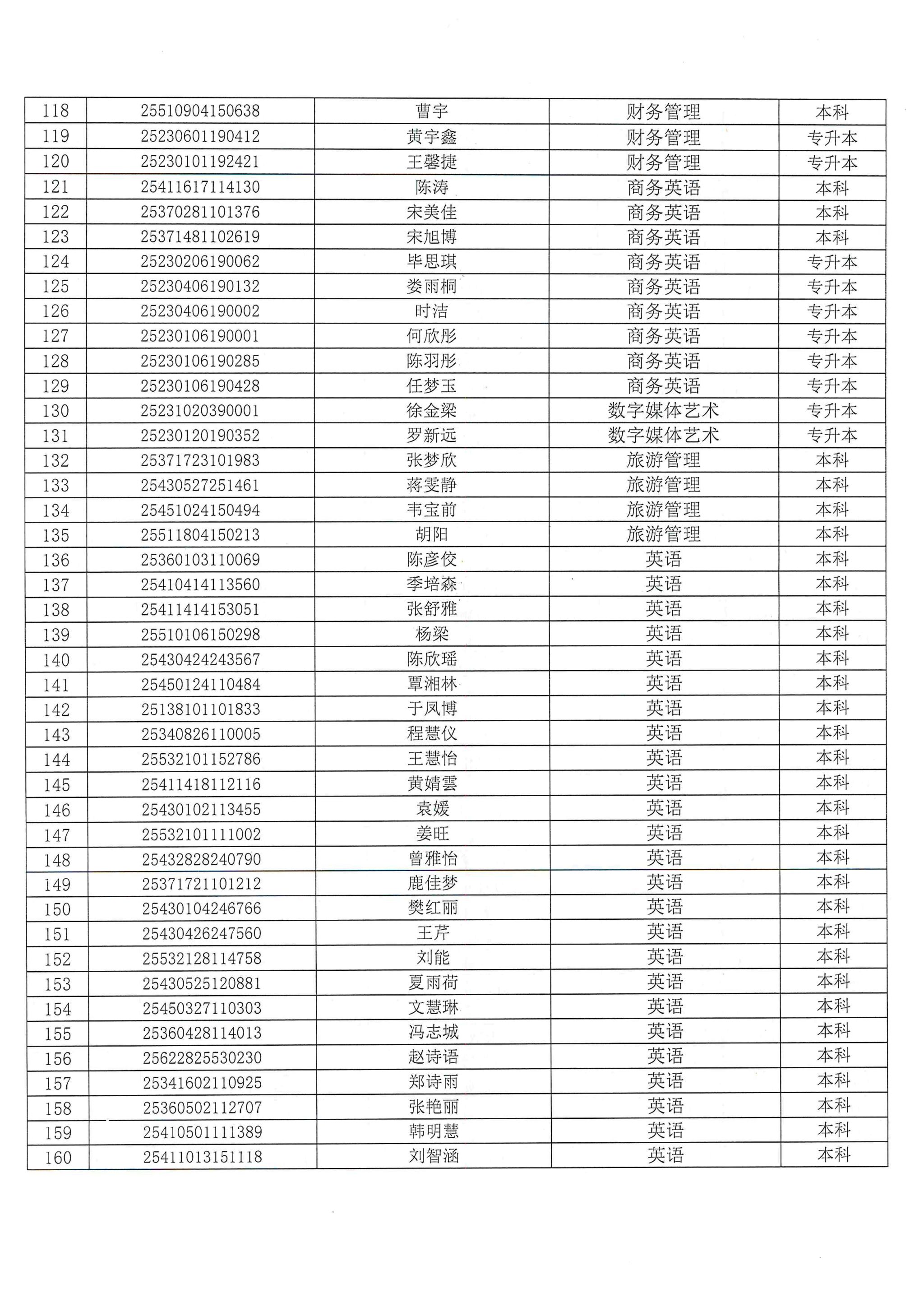
黑龙江工程学院昆仑旅游学院2025级录取新生联系不上386人处理公示
发布日期:2025-09-18 编辑:学生处
上一条:
通知|大学生心理咨询室持续为你服务!
下一条:
重要通知|黑龙江工程学院昆仑旅游学院 2025届毕业生档案邮寄快递单号